2020-10-19電動大口徑調節閥的特點及適用范圍電動大口徑調節閥除了精小型套筒閥的一般特點外,還具有更大的流通能力和更高的動作性能。它結構緊湊,流道通暢,具有流量特性Jing確、可調節范圍寬大、閥座泄漏量微小等特點。
2020-10-13電動套筒調節閥的結構及優點是什么電動套筒調節閥采用套筒導向,壓力平衡式雙密封面,單密封面結構,力平衡式調節閥,閥體結構緊湊,流體通道合理,壓力大具有下降損失低,流量大,調節范圍大,流量特性精度高的優…
2020-10-07緊急切斷閥結構及工作原理緊急切斷閥的結構主要由閥體,閥蓋,先導閥,小彈簧,溢流閥,大彈簧,密封面,凸輪,油缸等組成。罐車緊急切斷閥。閥瓣通常分為兩部分:先導閥(輔助閥)和溢流閥(主閥)。先導…
2020-09-28安裝緊急切斷閥時注意事項及緊急切斷閥的好處緊急切斷閥的性能要求和好處是什么?緊急切斷閥結構簡單,操作方便,體積小,重量輕,密封性能好,流量大,使用可靠性高。它受到用戶的高度評價。它具有非常高的性能要求,具有安…
2020-09-07自力式壓力調節閥主要型號及結構作用自力式壓力調節閥:ZZY 型直接作用自力式壓力調節閥ZZVP-16B 型直接作用自力式微壓調節閥ZZCP-16 型直接作用自力式差壓調節閥ZZYP-16-2 型指揮器操作型自力式壓力調節閥ZZWPE 型自力式溫度調節…
2020-06-06大口徑電動調節閥應用于哪些地方大口徑電動調節閥?除了精小型套筒閥的一般特點外,還具有更大的流通能力和更高的動作性能。適用范圍:它特別適用于化工、石油、冶金、電站等工業部門的一般流體介質和大流量工藝…
2020-06-04氣動低溫調節閥有哪些主要參數氣動低溫調節閥?,由氣動薄膜執行器及低溫調節閥閥體組成,多彈簧執行機構高度低、重量輕、裝備簡便。氣動低溫調節閥,閥體流道呈S流線型。氣動低溫調節閥具有結構緊湊、重量輕、…
2020-06-03電動調節閥在變流量供熱系統中的應用電動調節閥常出現運行效果不理想,甚到無法進行正常調節、調節閥損壞過快。其原因是多方面的,其中一個重要的原因就是電動調節閥的設計選型不當。由于熱力站距離熱源的遠近不同,…
2020-05-22電動調節閥原理及特性、和氣動調節閥的區別新型電動調節閥執行器內含伺服功能,接受統一的4-20mA或1-5V·DC的標準信號,將電流信號轉變成相對應的直線位移,自動地控制調節閥開度,達到對管道內流體的壓力、流量、溫度、液位等…
2020-03-18調節閥廠家告訴調節閥由哪幾部分組成調節閥廠家告訴調節閥由哪幾部分組成!調節閥=執行機構+閥體部件,其執行機構是調節閥的推動裝置,它按信號壓力的大小產生相應的推力,使推桿產生相應的位移,從而帶動調節閥的閥芯…
2020-02-27電動調節閥的特點有哪些浙江利沃夫自控閥門科技有限公司電動調節閥是工業自動化過程控制中的重要執行單元儀表。電動調節閥適宜安裝為工作活塞上端在水平管線下部。溫度傳感器可安裝在任何位置,整個長度…
2020-02-21電動調節閥是什么,有什么用?調節閥按驅動方式可分為:氣動調節閥、電動調節閥和液動調節閥;按調節形式可分為:調節型、切斷型、調節切斷型;按流量特性可分為:線性、等百分比、拋物線、快開。調節閥適用于…
2020-02-18電動調節閥優缺點有哪些浙江利沃夫自控閥門科技有限公司是一家在自控閥門等領域有著多年生產和服務經驗的專業廠家。產品范圍覆蓋:電子式調節閥、自力式調節閥、高壓調節閥、電動三通調節閥、氣動單座調…
2020-02-17電動調節閥常見的操作技巧有哪些浙江利沃夫自控閥門科技有限公司電動調節閥是常用的調節閥型號,由電動執行機構配用調節閥體兩部分組成。以電動操作替代手動操作,使調節精度更高,并且節省人工,還可以實現遠程…
2020-02-15電動調節閥執行器提高了閥門控制精度 浙江利沃夫自控閥門科技有限公司電動調節閥由電動調節閥執行器和調節閥體組裝而成,電動調節閥執行器是控制整個調節閥的主要部分。從功能方面來劃分,電動調節閥執行器主要分為普…
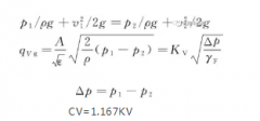
2019-12-19氣動調節閥的工作原理及計算選型調節閥同孔板一樣,是局部阻力元件。與孔板不同的是,調節閥的節流面積可以由閥芯的移動來改變,是可變的節流元件。因此,可以將調節閥模擬成孔板節流形式。
2019-10-23電動調節閥常見的故障以及對應的解決方案電動調節閥是工業自動化過程控制中的重要執行單元儀表。隨著工業領域的自動化程度越來越高,正被越來越多的應用在各種工業生產領域中。與傳統的氣動調節閥相比具有明顯的優點:電動…
2019-10-21自力式壓力調節閥的主要特點是什么?自力式壓力調節閥的主要特點是:1、壓力設定值在運行期間可連續設定。2、橡膠膜片式檢測,執行機構檢測精度高、動作靈敏。3、采用壓力平衡機構,使調節閥反應靈敏,控制Jing確。4、…
2019-10-18自力式壓力調節閥的工作原理是什么?自力式壓力調節閥的工作原理可分為兩部分:閥后壓力控制和閥前壓力控制。 具體分析如下: 一、閥后壓力控制 工作介質的閥前壓力P1經過閥芯、閥座后的節流后,變為閥后壓力P2。P2經過…
2019-10-18自力式壓力調節閥該如何正確使用?自力式壓力調節閥根據取壓點位置分閥前和閥后兩類,取壓點在閥前時,用于調節閥前壓力恒定;取壓點在閥后時,用于調節閥后壓力恒定。自力式壓力調節閥無需外加能源,能在無電無氣的…